Mathématiques > Analyse > Dérivation > Dérivées des fonctions usuelles (polynômes, rationnelles, trigonométriques, exponentielle, logarithme)

Guide Complet des Dérivées de Fonctions Usuelles

Ce guide exhaustif couvre les dérivées des fonctions polynomiales, rationnelles, trigonométriques, exponentielles et logarithmiques, avec des exemples clairs et des exercices pour les lycéens.

Guide Complet des Dérivées de Fonctions Usuelles

Dérivées des Fonctions Polynômes

Les fonctions polynômes sont des expressions de la forme f(x) = anxn + an-1xn-1 + ... + a1x + a0, où les ai sont des coefficients constants et n est un entier non négatif. La dérivée d'une fonction polynôme se calcule terme par terme.

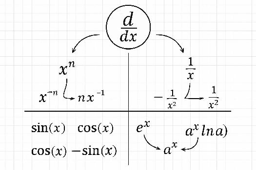
Règle de base: Si f(x) = xn, alors f'(x) = nxn-1. De plus, la dérivée d'une constante multipliée par une fonction est la constante multipliée par la dérivée de la fonction: si f(x) = k*g(x), alors f'(x) = k*g'(x).

Exemple 1: Soit f(x) = 3x2 + 2x - 5. Alors f'(x) = 3 * 2x2-1 + 2 * 1x1-1 - 0 = 6x + 2.

Exemple 2: Soit g(x) = x4 - x3 + 7x. Alors g'(x) = 4x3 - 3x2 + 7.

Dérivées des Fonctions Rationnelles

Une fonction rationnelle est une fonction de la forme f(x) = u(x) / v(x), où u(x) et v(x) sont des polynômes. Pour dériver une fonction rationnelle, on utilise la règle du quotient:

Règle du quotient: Si f(x) = u(x) / v(x), alors f'(x) = [u'(x)v(x) - u(x)v'(x)] / [v(x)]2.

Exemple: Soit f(x) = (x2 + 1) / (x - 2). Alors u(x) = x2 + 1 et v(x) = x - 2. On a u'(x) = 2x et v'(x) = 1. Donc, f'(x) = [2x(x - 2) - (x2 + 1)(1)] / (x - 2)2 = (2x2 - 4x - x2 - 1) / (x - 2)2 = (x2 - 4x - 1) / (x - 2)2.

Dérivées des Fonctions Trigonométriques

Les fonctions trigonométriques de base sont le sinus (sin), le cosinus (cos), la tangente (tan), etc. Il est essentiel de connaître leurs dérivées par cœur.

Dérivées principales:

  • La dérivée de sin(x) est cos(x).
  • La dérivée de cos(x) est -sin(x).
  • La dérivée de tan(x) est 1 + tan2(x) = 1 / cos2(x).

Exemple 1: Soit f(x) = 2sin(x) + 3cos(x). Alors f'(x) = 2cos(x) - 3sin(x).

Exemple 2: Soit g(x) = tan(x). Alors g'(x) = 1 / cos2(x).

Dérivées des Fonctions Exponentielles

Une fonction exponentielle est de la forme f(x) = ax, où a est une constante positive. Le cas le plus courant est la fonction exponentielle naturelle ex.

Dérivées principales:

  • La dérivée de ex est ex.
  • La dérivée de ax est axln(a).

Exemple 1: Soit f(x) = 5ex. Alors f'(x) = 5ex.

Exemple 2: Soit g(x) = 2x. Alors g'(x) = 2xln(2).

Dérivées des Fonctions Logarithmiques

Une fonction logarithmique est l'inverse d'une fonction exponentielle. Le cas le plus courant est le logarithme naturel, noté ln(x).

Dérivées principales:

  • La dérivée de ln(x) est 1/x.
  • La dérivée de loga(x) est 1 / (xln(a)).

Exemple 1: Soit f(x) = 3ln(x). Alors f'(x) = 3/x.

Exemple 2: Soit g(x) = log2(x). Alors g'(x) = 1 / (xln(2)).

Ce qu'il faut retenir

  • Fonctions Polynômes: (xn)' = nxn-1.
  • Fonctions Rationnelles: Utilisez la règle du quotient.
  • Fonctions Trigonométriques: Connaître les dérivées de sin(x), cos(x) et tan(x).
  • Fonctions Exponentielles: (ex)' = ex et (ax)' = axln(a).
  • Fonctions Logarithmiques: (ln(x))' = 1/x.

FAQ

  • Comment dériver une fonction composée?

    Utilisez la règle de la chaîne: si f(x) = g(h(x)), alors f'(x) = g'(h(x)) * h'(x).
  • Quelle est la dérivée de sin(2x)?

    En utilisant la règle de la chaîne: (sin(2x))' = cos(2x) * 2 = 2cos(2x).